Die 1,2 ms betragende Verzögerung des Boosters ganz am Anfang wird durch die Sättigung des Fehlerverstärker-Ausgangs COMP verursacht. Bei 11,0 V am Eingang ist die Spannung am Feedback-Widerstandsteiler höher als die Referenzspannung, weshalb die Spannung am Fehlerverstärker auf null zurückgeht und der Wandler nicht schaltet.
Wird nun der Prüfimpuls angelegt, so fällt die Ausgangsspannung und die Feedback-Spannung wird kleiner als die Referenzspannung. Danach muss der Fehlerverstärker zunächst die Kondensatoren des Kompensationsnetzwerks – dies sind die Kondensatoren zwischen COMP und FB (Pins 4 und 5) auf einen bestimmten, für die Regelung erforderlichen Wert laden.
Der Ladestrom wird jedoch durch den maximalen Ausgangsstrom des Fehlerverstärkers (typ. 250 µA) und den mit dem größeren Kondensator in Reihe geschalteten Widerstand begrenzt. Diese, durch die Sättigung des Fehlerverstärkers hervorgerufene Verzögerung hat den größten Einfluss auf das Einbrechen der Ausgangsspannung während des Kaltstart-Prüfimpulses.
Abmildern lässt sich dieses Problem nur, indem man die Kapazität der Kondensatoren reduziert und den Widerstandswert vergrößert. Diese Möglichkeit scheidet jedoch aus, weil diese drei Bauelemente die Verstärkung, eine Nullstelle und eine Polstelle des Fehlerverstärkers so festlegen, dass ein gut geregelter Ausgang, schnelle Lastregeleigenschaften und ausreichend Phasenrand und Amplitudenreserve entstehen.
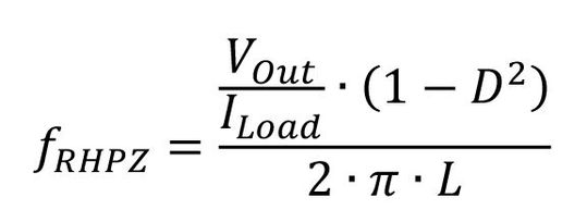
Die Bandbreite und damit auch die Verstärkung des im nicht-lückenden Betrieb arbeitenden Boosters werden somit durch die Nullstelle in der rechten Halbebene (Right Half Plane Zero) bestimmt. Um eine stabile und zuverlässige Schaltung zu bekommen, wird die maximale Bandbreite irgendwo zwischen einem Zehntel und einem Fünftel dieser Frequenz angesiedelt.
(Bild: Texas Instruments)
Wie die Formel verdeutlicht, lässt sich die Frequenz, an der sich diese Nullstelle befindet, nur über die Induktivität beeinflussen, da alle übrigen Parameter (Ausgangsspannung, Laststrom und Tastverhältnis) bereits durch die Spezifikation des Boosters festgelegt sind.
Bei der Auslegung des Kompensationsnetzwerks ist es wichtig, die niedrigste Frequenz dieser Nullstelle zugrunde zu legen, die sich bei der geringsten Eingangsspannung und dem maximalen Laststrom einstellt. Die Bandbreite eines solchen Pre-Boosters liegt in der Regel zwischen einigen hundert Hertz und einigen Kilohertz.
Diese Bedingungen begrenzen also die Bandbreite und ergeben bestimmte Werte für das Kompensationsnetzwerk, die zum Erzielen eines besseren Prüfimpuls-Verhaltens nicht einfach geändert werden können, will man nicht Gefahr laufen, dass die Schaltung im Lauf der Zeit instabil wird.
Eine große Bandbreite bedingt große Widerstände und kleine Kondensatoren im Kompensationsnetzwerk, und somit bleibt das Reduzieren der Induktivität als einzige Möglichkeit, die Nullstelle in der rechten Halbebene bei einem im nicht-lückenden Betrieb arbeitenden Boost-Wandler in Richtung höherer Frequenzen zu verlagern.
Der Ausgang des Fehlerverstärkers kann dann die Kondensatoren schneller laden und die Regelwirkung setzt früher ein, wenn ein Prüfimpuls angelegt wird.
Die Regelung der Ausgangsspannung verbessert sich mit der Bandbreite des Pre-Boosters
Die Gegenüberstellung in Tabelle 1 zeigt, wie sich die Regelung der Ausgangsspannung verbessert, wenn die Bandbreite des Pre-Boosters angehoben wird. Das Kompensationsnetzwerk wird so angepasst, dass Phasenrand und Amplitudenreserve ähnlich sind (mindestens 60° Phasenrand und -20 dB Amplitudenreserve), während sich die Bandbreite praktisch verdoppelt.
Falls nicht anders angegeben, verwenden alle folgenden Messungen einen „Standard“-Prüfaufbau mit einer Kapazität von 220 µF, einer Induktivität von 2,2 µH, einer Ausgangskapazität von 47 µF und einer auf 9,0 V eingestellten Ausgangsspannung. Der Ausgang wird durch einen synchronen Buck-Wandler des Typs LM53602-Q1, der 5,0 V bei 2,0 A liefert, mit 10 W belastet.
Bei verdoppelter Bandbreite bricht die Ausgangsspannung nur um 26 % ein, verglichen mit 58 % bei geringerer Bandbreite. Die minimale Ausgangsspannung von 6,7 V liegt noch deutlich über der Ausgangsspannung von 5,0 V des nachfolgenden Buck-Wandlers, sodass das System kontinuierlich und ohne Unterbrechung arbeitet.
Stand: 08.12.2025
Es ist für uns eine Selbstverständlichkeit, dass wir verantwortungsvoll mit Ihren personenbezogenen Daten umgehen. Sofern wir personenbezogene Daten von Ihnen erheben, verarbeiten wir diese unter Beachtung der geltenden Datenschutzvorschriften. Detaillierte Informationen finden Sie in unserer Datenschutzerklärung.
Einwilligung in die Verwendung von Daten zu Werbezwecken
Ich bin damit einverstanden, dass die Vogel Communications Group GmbH & Co. KG, Max-Planckstr. 7-9, 97082 Würzburg einschließlich aller mit ihr im Sinne der §§ 15 ff. AktG verbundenen Unternehmen (im weiteren: Vogel Communications Group) meine E-Mail-Adresse für die Zusendung von redaktionellen Newslettern nutzt. Auflistungen der jeweils zugehörigen Unternehmen können hier abgerufen werden.
Der Newsletterinhalt erstreckt sich dabei auf Produkte und Dienstleistungen aller zuvor genannten Unternehmen, darunter beispielsweise Fachzeitschriften und Fachbücher, Veranstaltungen und Messen sowie veranstaltungsbezogene Produkte und Dienstleistungen, Print- und Digital-Mediaangebote und Services wie weitere (redaktionelle) Newsletter, Gewinnspiele, Lead-Kampagnen, Marktforschung im Online- und Offline-Bereich, fachspezifische Webportale und E-Learning-Angebote. Wenn auch meine persönliche Telefonnummer erhoben wurde, darf diese für die Unterbreitung von Angeboten der vorgenannten Produkte und Dienstleistungen der vorgenannten Unternehmen und Marktforschung genutzt werden.
Meine Einwilligung umfasst zudem die Verarbeitung meiner E-Mail-Adresse und Telefonnummer für den Datenabgleich zu Marketingzwecken mit ausgewählten Werbepartnern wie z.B. LinkedIN, Google und Meta. Hierfür darf die Vogel Communications Group die genannten Daten gehasht an Werbepartner übermitteln, die diese Daten dann nutzen, um feststellen zu können, ob ich ebenfalls Mitglied auf den besagten Werbepartnerportalen bin. Die Vogel Communications Group nutzt diese Funktion zu Zwecken des Retargeting (Upselling, Crossselling und Kundenbindung), der Generierung von sog. Lookalike Audiences zur Neukundengewinnung und als Ausschlussgrundlage für laufende Werbekampagnen. Weitere Informationen kann ich dem Abschnitt „Datenabgleich zu Marketingzwecken“ in der Datenschutzerklärung entnehmen.
Falls ich im Internet auf Portalen der Vogel Communications Group einschließlich deren mit ihr im Sinne der §§ 15 ff. AktG verbundenen Unternehmen geschützte Inhalte abrufe, muss ich mich mit weiteren Daten für den Zugang zu diesen Inhalten registrieren. Im Gegenzug für diesen gebührenlosen Zugang zu redaktionellen Inhalten dürfen meine Daten im Sinne dieser Einwilligung für die hier genannten Zwecke verwendet werden. Dies gilt nicht für den Datenabgleich zu Marketingzwecken.
Recht auf Widerruf
Mir ist bewusst, dass ich diese Einwilligung jederzeit für die Zukunft widerrufen kann. Durch meinen Widerruf wird die Rechtmäßigkeit der aufgrund meiner Einwilligung bis zum Widerruf erfolgten Verarbeitung nicht berührt. Um meinen Widerruf zu erklären, kann ich als eine Möglichkeit das unter https://contact.vogel.de abrufbare Kontaktformular nutzen. Sofern ich einzelne von mir abonnierte Newsletter nicht mehr erhalten möchte, kann ich darüber hinaus auch den am Ende eines Newsletters eingebundenen Abmeldelink anklicken. Weitere Informationen zu meinem Widerrufsrecht und dessen Ausübung sowie zu den Folgen meines Widerrufs finde ich in der Datenschutzerklärung, Abschnitt Redaktionelle Newsletter.
Phasenrand und Amplitudenreserve müssen stets ausreichend groß sein
Es bringt einen klaren Vorteil, die Bandbreite des Pre-Boosters so weit wie möglich zu erhöhen. Dabei müssen Phasenrand und Amplitudenreserve jedoch stets ausreichend groß sein.
Das Reduzieren der Induktivität und das dadurch bewirkte Verlagern der Nullstelle in der rechten Halbebene zu höheren Frequenzen sorgt potenziell für höhere Bandbreiten und ein geringeres Einbrechen der Ausgangsspannung. Als weiterer Vorteil kommt der etwas geringere Scheitelstrom in der Induktivität hinzu.
Um dies zu verstehen, lohnt sich ein genauerer Blick auf den Ausgangskondensator. Wenn die Eingangsspannung fällt und der Wandler noch nicht schaltet, wird die angeschlossene Last ausschließlich aus dem Ausgangskondensator versorgt.
Sobald nun der Booster zu schalten beginnt, muss er nicht nur den angeschlossenen Verbraucher versorgen, sondern auch den Ausgangskondensator wieder aufladen. Je geringer aber die Bandbreite ist, umso größer ist die Regelverzögerung und die Entladung des Ausgangskondensators, sodass folglich auch ein höherer Strom für dessen Wiederaufladung erforderlich ist.