Vierfach-JFET-Pufferverstärker halbiert das Rauschen
Puffer trennen oder isolieren Stromkreise voneinander. Wir stellen eine neue Konfiguration eines Pufferverstärkers vor, der das Spannungsrauschen halbiert.
Anbieter zum Thema

Viele Elektronikschaltungen benötigen Bauteile, die verschiedene Stromkreise isolieren oder voneinander trennen. Diese Spezialbausteine heißen Puffer. Bei einem Puffer handelt es sich um einen Verstärker mit dem Verstärkungsfaktor Eins, der einen sehr hohen Eingangswiderstand und einen sehr niedrigen Ausgangswiderstand aufweist. Dies bedeutet, dass der Puffer als spannungsgesteuerte Spannungsquelle mit einer Verstärkung von 1 genutzt werden kann.
Da der Puffer idealerweise einen unendlich hohen Eingangswiderstand aufweist, entstehen keine Lasteinflüsse und es wird UIN = UOUT. Darüber hinaus ist die Ausgangsspannung am Puffer unempfindlich gegenüber dem Lastwiderstand, da der ideale Puffer einen Ausgangswiderstand aufweist, der im Wesentlichen Null beträgt.
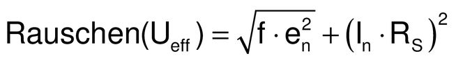
Mit einem Puffer mit Verstärkungsfaktor Eins zwischen einem D/A-Wandler und einer Last lässt sich die Lastproblematik auf einfache Weise lösen. Beim Einbinden eines Unity-Gain-Puffers in ein System ist es wichtig, die Genauigkeit sowie die Leistungsfähigkeit beizubehalten. Am wichtigsten ist, das zusätzliche Rauschen mit der zu berechnen (Gleichung 1). Rauschen (Ueff) = ((f en2) + (In RS)2))–1/2
Darin sind en die Rauschdichte der Puffereingangsspannung, In die Rauschdichte des Puffereingangsstromes und f die Eingangsbandbreite des Bauteils in Hz.
In der Schaltung in Bild 1 weist jeder Kanal ein Stromrauschen von 0,8 fA/√Hz sowie ein Spannungsrauschen von 13 nV/√Hz auf. Falls in einem System weniger zusätzliches Rauschen erforderlich ist, muss das Spannungsrauschen reduziert werden. Das Spannungsrauschen lässt sich verringern, indem man mehrere Puffer parallel schaltet.
Zum Beispiel senken zwei parallel geschaltete Puffer das Spannungsrauschen um den Faktor √2 bzw. alle vier Puffer in Parallelschaltung verhalten sich wie ein Puffer mit halb so großem Rauschen. Die Nachteile bei dieser Methode sind höhere Werte für Bias-Strom, Stromrauschen und Eingangskapazität, was in diesem Fall aber vernachlässigbar ist.
Indem man einen kleinen Widerstand, beispielsweise 50 Ω, zwischen die Ausgänge platziert, lässt sich zusätzlicher Stromfluss infolge der geringen Unterschiede zwischen jedem Ausgang vermeiden. Für weniger leistungskritische Anwendungen können die 50-Ω-Widerstände entfallen, damit man einen höheren Ausgangsstrom erhält.
Bei der Schaltung in Bild 1 handelt es sich um eine neue Konfiguration eines Pufferverstärkers, der das Spannungsrauschen halbiert. Der AD8244 ist ein Vierfach-Unity-Gain-Puffer mit JFET-Eingang, der entsprechend den Anforderungen der Entwickler konzipiert wurde. Eigenschaften wie ein maximaler Bias-Strom von 2 pA, ein Stromrauschen von nahezu Null sowie eine Eingangsimpedanz von 10 TΩ bewirken fast keinen Fehler, selbst bei Source-Impedanzen mit einigen Megaohm.
Mit seinem geringen Spannungsrauschen, seinem großen Versorgungsspannungsbereich und seiner hohen Genauigkeit ist dieses Bauteil flexibel genug, um in Schaltungen, die einen Unity-Gain-Puffer benötigen, eine hohe Leistungsfähigkeit zu erreichen – selbst bei niedrigem Source-Widerstand.
Das Diagramm in Bild 2 vergleicht das Rauschverhalten eines einkanaligen Puffers mit dem von vier parallel geschalteten Kanälen des AD8244.
* Jordyn Rombola ist Produkt-Ingenieurin in der Gruppe Linear and Precision Technology (LPT) von Analog Devices in Wilmington / U.S.A. Chau Tran arbeitet ebenfalls in der LPT-Gruppe in Wilmington / U.S.A.
(ID:45295075)
