High-speed Verstärker testen: Fehlanpassungen durch Phasenunsymmetrie
Haben Sie sich schon einmal gefragt, wieviel Phasenunsymmetrie akzeptabel ist? Leider gibt es keine Faustformel. Doch je höher die Frequenzen werden, umso gravierender sind Fehlanpassungen.
Anbieter zum Thema

Signalgeneratoren und Spektrumanalysatoren sind referenzbezogene Messgeräte, mit denen Verzerrungen in schnellen differenziellen Verstärker-Treibern und Konvertern gemessen werden.
Beim Messen von harmonischen und nichtharmonischen Verzerrungen des Verstärker-Treibers, wie beispielsweise Verzerrungen zweiter Ordnung (HD2) oder Intermodulationsverzerrungen zweiter Ordnung (IMD2), sind zusätzliche Komponenten wie Baluns und Dämpfungsglieder im Testaufbau notwendig, um die referenzbezogenen (single-ended) Testinstrumente mit den differenziellen Ein- und Ausgängen des Verstärker-Treibers zu verbinden.
Dieser Artikel erklärt die Phasenunsymmetrie, die sich durch falsch angepasste Signalen ergibt, und wie Phasenunsymmetrie zu höheren Oberwellen führt. Es wird ebenfalls gezeigt, wie die Kompromisse zwischen unterschiedlichen Hochleistungs-Baluns und Dämpfungsgliedern die Leistungsmerkmale (HD2 und IMD2) des zu testenden Verstärkers beeinflussen können.
Mathematische Grundlagen zusammengefasst
Amplitude und Phasenunsymmetrie sind wichtige Kennzahlen, die man beim Testen von High-Speed-Geräten, die differenzielle Eingänge haben wie A/D-Wandler, Verstärker, Mischer, Baluns etc., verstehen muss.
Große Sorgfalt sollten Sie anwenden, wenn Sie die analoge Signalkette in Designs implementieren, die mit Frequenzen von 500 MHz und darüber arbeiten, da sämtliche Bausteine, aktiv oder passiv, eine gewisse inhärente Unsymmetrie in Abhängigkeit von der Frequenz aufweisen.
500 MHz ist kein magischer Frequenzwert. Dieser Wert ist jedoch erfahrungsgemäß der Frequenzpunkt, an dem die meisten Bausteine anfangen von der Phasensymmetrie abzuweichen. Je nach Gerät kann diese Frequenz niedriger oder höher sein.
Lassen Sie uns einen genaueren Blick auf das einfache mathematische Modell werfen. Wir betrachten die Eingänge x(t) eines A/D-Wandlers, Verstärkers, Baluns etc. oder eines anderen Bausteins, der Signale von referenzbezogen (single-ended) auf differenziell oder umgekehrt wandelt. Das Signalpaar x1(t) und x2(t) ist sinusförmig, daher haben die differenziellen Eingangssignale folgende Form: x1(t) = k1 sin (ωt); x2(t) = k2 sin (ωt – 180° + p).
Falls nicht, können die Testergebnisse der harmonischen Verzerrungen des A/D-Wandlers über den Betriebsfrequenzbereich direkt aufgrund der Asymmetrie in diesen Komponenten stark variieren.
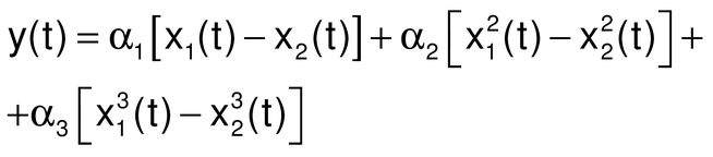
Der A/D-Wandler oder jedes aktive Bauteil kann einfach als eine symmetrische Übertragungsfunktion dritter Ordnung modelliert werden: h(x(t)) = α0 + α1x(t) + α2x2(t) + α3x3(t). Daraus folgt: y(t)= h (x1(t)) – h (x2(t)) und das ergibt Gleichung 1.
Gleichung 2 zeigt das Ergebnis für eine differenzielle Schaltung: geradzahlige Harmonische heben ideale Signale auf, ungeradzahlige Oberwellen nicht.
Nehmen wir nun an, dass die beiden Eingangssignale eine Amplitudenunsymmetrie, aber keine Phasenunsymmetrie haben, dann ist in diesem Fall, k1≠ k2, und φ = 0. Die zweite Harmonische ist dann proportional zur Differenz der Quadrate der Amplituden k1 und k2, oder anders ausgedrückt:
Zweite Harmonische = α (k12– k22).
Nehmen wir nun an, dass die beiden Eingangssignale einen Phasenunterschied, aber keinen Amplitudenunterschied aufweisen, dann ist k1 = k2, und φ ≠ 0. Jetzt ist die Amplitude der zweiten Harmonischen proportional zu den Quadraten der Amplituden k.
Zweite Harmonische = α k12. Wir sehen, dass die zweite Harmonische stärker von der Phasenunsymmetrie beeinflusst wird als durch die Unsymmetrie der Amplitude. Der Grund: Bei der Phasenunsymmetrie ist die zweite Harmonische proportional zum Quadrat von k1, während bei einer Unsymmetrie der Amplitude die zweite Harmonische proportional zur Differenz der Quadrate von k1 und k2 ist. Da k1 und k2 ungefähr gleich groß sind, bleibt dieser Unterschied klein im Vergleich zu einer quadrierten Zahl.
Artikelfiles und Artikellinks
(ID:45415088)

